Grundy county, iowa 3 +/- AcresĀ – sold
PROPERTY DOCUMENTS
PROPERTY DESCRIPTION
PROPERTY DESCRIPTION
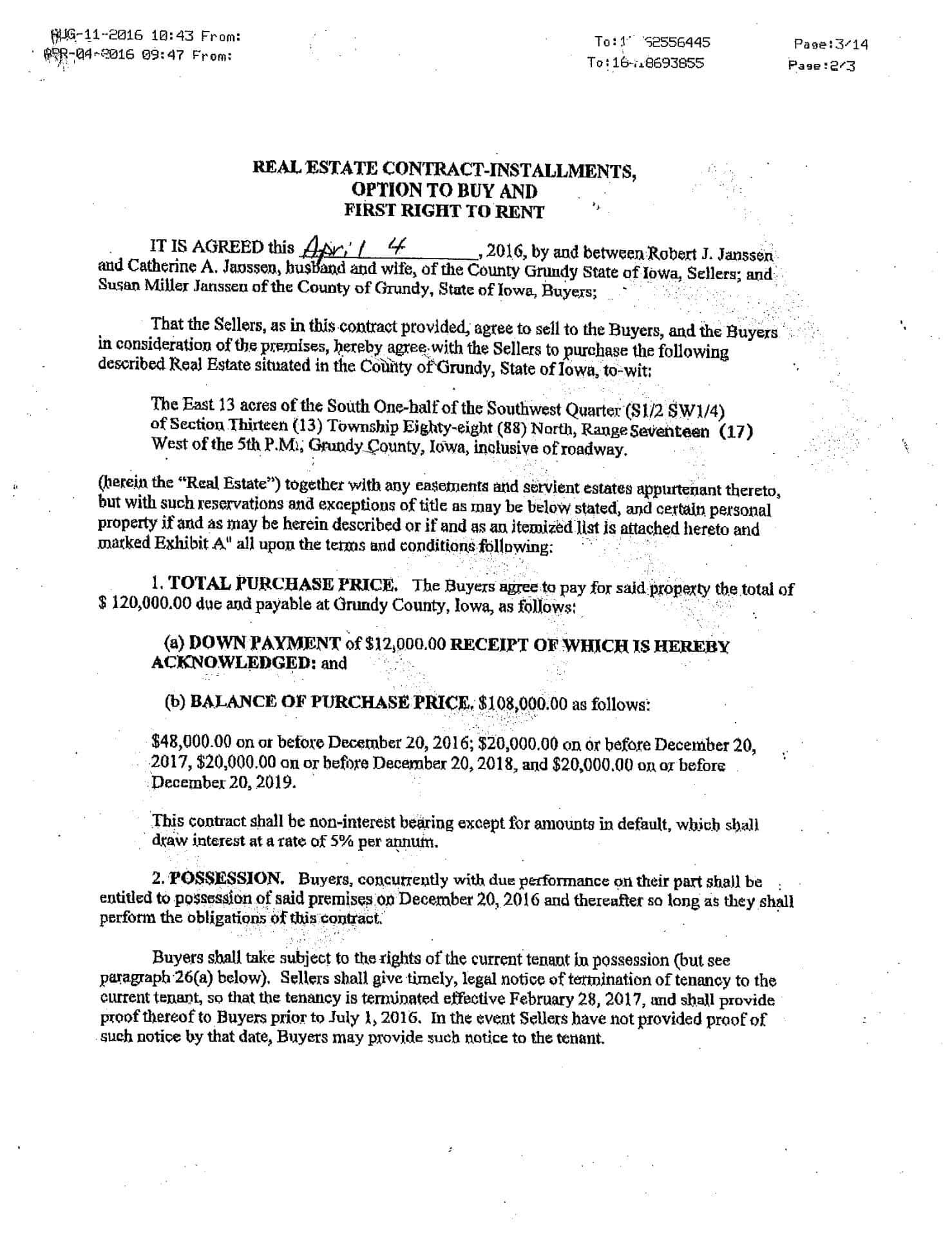
This property has an option to buy contract between the owner (current owner is Bradley Boswell) of the property and Susan Miller Janssen. This option to buy contract DOES transfer to the next owner of the property.
Ā A brief description of the option to buy contract is – the option grants Susan Miller Janssen (option to buy contract holder) to purchase the property within four months after the death of Catherine Janssen (previous owner) at its then fair market value at the time of death of CatherineĀ Janssen. The fair market value shall be established from a certified appraisal. A copy of the option to buy contract is above in the property documents see page 8 of the option to buy contract.
Located on hard surface 190th St just 15 miles southwest from western Cedar Falls, Iowa sits this farmhouse on 3 +/- acres. The home offers 3 bedrooms and one bath. There is a bonus room on the main level that could be utilized as a master bedroom with a walkout to a huge front porch! A new septic system was installed in 2024. This house needs some work but has a lot of potential and could be made into something special with updates throughout the house. The location of this property is going to be hard to beat. The property is located just west of HWY 14 and only two miles south of HWY 20. Call Cody or Nick Skinner today to request a private showing. Ā The property address is 22245 190th St Holland, IA 50642.Ā
Property Highlights:
- Located on hard surface roadĀ
- 3+/- AcresĀ
- 3 bedroom and one bath
- Additional shower is located in the basementĀ
- A bonus room on the main level could be used as a master bedroom with a walkout to the front potchĀ
- New septic system installed in 2024
- This house needs some work but has a lot of potential and could be made into something special with updates throughout the house.
- Beautiful county views only 15 miles west of western Cedar Falls IowaĀ
- Located ¾ mile west of HWY 14 and 2 miles south of HWY 20
- Huge front porchĀ
- 28ā x 60ā corn crib is located on the property that could be used for storageĀ
- Ā All property is sold āAS IS-WHERE ISā basis
Brief Legal Description Ā
There is an option to buy contract on this property, call Broker Cody Skinner to receive a copy of the contract or to learn more about the arrangement.
Taxes:
TBD +/- Annually
- Address: 22245 190th St Holland IA 50642
LAND AGENT
RECENT BLOG POSTS
No feed items found.















